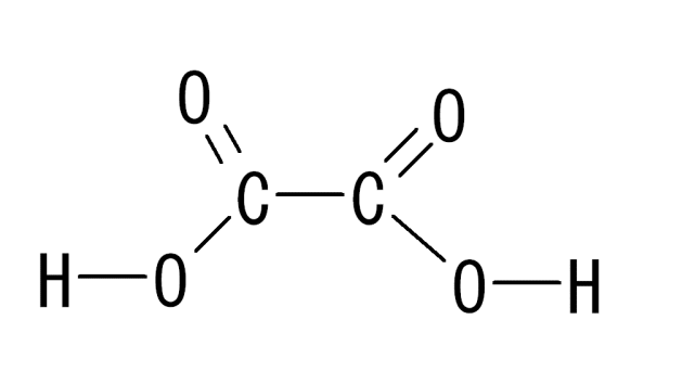
2016.06.01 受験化学コーチなかむら シュウ酸 構造式 ポスト シェア はてブ 送る Pocket シュウ酸 構造式 ポスト シェア はてブ 送る Pocket feedly 2 件のコメント シュウ酸の分子式についてですが、H2C2O4とC2H2O4のどちらが正しいのでしょうか? 過去問で書かされたとき、解答によって答えが違うので気になりました。お願いします。 返信する 基本的に分子式ならばC2H2O4ですね。アルファベット順です。 でも、酸性であることを強調する場合は、H2C2O4ですね。 返信する コメントを残すコメントをキャンセル
シュウ酸の分子式についてですが、H2C2O4とC2H2O4のどちらが正しいのでしょうか?
過去問で書かされたとき、解答によって答えが違うので気になりました。お願いします。
基本的に分子式ならばC2H2O4ですね。アルファベット順です。
でも、酸性であることを強調する場合は、H2C2O4ですね。