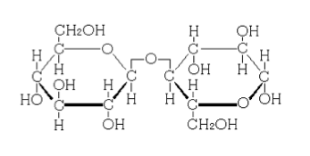
2016.11.08 受験化学コーチなかむら セロビオースは二糖類だお ポスト シェア はてブ 送る Pocket ポスト シェア はてブ 送る Pocket feedly コメントを残すコメントをキャンセル
コメントを残す