化学受験テクニック塾
search
化学基礎
サイトマップ
合格体験記
お問い合わせ
menu
CLOSE
化学基礎
サイトマップ
合格体験記
お問い合わせ
CLOSE
キーワードで記事を検索
CLOSE
HOME
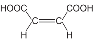
マレイン酸
2016.06.01
受験化学コーチなかむら
マレイン酸
ポスト
シェア
はてブ
送る
Pocket
ポスト
シェア
はてブ
送る
Pocket
feedly
コメントを残す
コメントをキャンセル
トップページへ
トップページへ
RECOMMEND
こちらの記事も人気です。
理論化学
2016.5.2
【超単純】反応速度とは?反応速度式は○○を書いて解け!
理論化学
2021.10.15
【頻出問題】水酸化鉄(III)コロイド溶液の性質や調製法を分かりやすく徹…
理論化学
2016.4.8
酸化剤と還元剤の半反応式の作り方!極限まで暗記を減らす方法
化学基礎
2018.10.12
「モル質量」と「原子量、分子量、式量」の違いとは?
化学基礎
2018.8.23
倍数比例の法則とは?例を挙げて歴史と絡めてわかりやすく解説してみた
有機化学
2016.3.24
カルボニル基とは何か?ケトン基の違いを完全に解説してみた!
理論化学
2015.12.23
受験化学のコロイド溶液の性質完全制覇!正誤問題68選!
化学基礎
2018.9.21
化学結合の種類の見分け方〜あなたも100%間違って理解している〜
ABOUT
この記事をかいた人
受験化学コーチなかむら
浪人の夏休みまで死ぬほど勉強したにも関わらず偏差値50を割ることも。そんな状態から効率よく化学を学び化学の偏差値を68まで爆発的に伸ばした。その経験を塾講師としてリアル塾で発揮するも、携われる生徒の数に限界を感じ化学受験テクニック塾を開講。
自己紹介の続きを読む。
Twitter
YouTube
NEW POST
このライターの最新記事
無機化学
2022.12.31
【丸暗記不要】気体の製法の化学反応式の覚え方と作り方総まとめ!
有機化学
2022.11.19
ピクリン酸とは?性質や作り方、生成反応の流れを画像で徹底解説!
理論化学
2022.6.27
【還元剤】アルデヒドの半反応式の作り方を徹底解説!塩基性条件の半反応式とは?
無機化学
2022.6.24
キップの装置とは?実験手順や使い方、気体発生の止め方をわかりやすく解説!
最近の投稿
【丸暗記不要】気体の製法の化学反応式の覚え方と作り方総まとめ!
2022.12.31
ピクリン酸とは?性質や作り方、生成反応の流れを画像で徹底解説!
2022.11.19
【還元剤】アルデヒドの半反応式の作り方を徹底解説!塩基性条件の半反応式とは?
2022.06.27
キップの装置とは?実験手順や使い方、気体発生の止め方をわかりやすく解説!
2022.06.24
【受験化学】気体の捕集方法(上方置換・下方置換・水上置換)覚え方徹底解説!
2022.06.20
カテゴリー
問題集
化学基礎
理論化学
有機化学
無機化学
高分子
記述・論述問題対策
勉強法
センター化学
やる気
コラム
考え方
コメントを残す